真空技術ガイド
Technical Guide
真空排気時間 計算ツール(分子流)
分子流領域(<10Pa程度)での真空排気時間の計算をします。
下記フォームに値を入力し、「排気時間を計算する」ボタンを押してください。
参考:分子流とは?
粘性流での排気時間の計算はこちら

| チャンバー体積 V |
|
| ポンプ排気速度 S |
|
| 配管長さ L |
|
| 配管内径(直径) d |
|
| ポンプ到達圧力 P0 |
|
| 開始圧力 P1 |
|
| 目標圧力 P2 |
|
|
排気時間 内訳 |
本資料および計算結果は、参考情報として提供するものであり、その正確性や完全性を保証するものではありません。
これらを使用したことにより生じたいかなる損害や不利益についても、当社は一切の責任を負いません。
尚、誤りのご指摘や改善点の提案は歓迎致します。
配管のコンダクタンス
排気配管のコンダクタンスは下記の式で表されます。(1)

- C (m3/s) : 配管のコンダクタンス
- d (m) : 配管の内径
- L (m) : 配管長さ
ここで、ポンプ排気速度と配管コンダクタンスを比較します。
- ポンプ排気速度 S ≪ C の場合 : ポンプ排気速度が支配的となります。
- C ≪ S の場合 : 配管コンダクタンスが支配的となります。
- S と C が近い場合 : 双方を考慮する必要があります。
コンダクタンスの合成

- Seff (m3/s) : 有効排気速度
- S (m3/s) : ポンプの排気速度
- C (m3/s) : 配管のコンダクタンス
排気時間の計算
以下の積分を解くことで排気時間を算出できます。

- t (s) : ポンプ排気速度での排気時間
- V (m3) : チャンバー体積
- S (m3/s) : ポンプ排気速度
- P1 (Pa) : チャンバーの排気開始圧力
- P2 (Pa) : チャンバーの目的圧力
※ P1 > P2 のため、積分区間を P2 → P1 と逆にして、正の値を得ています。
ポンプ排気速度が支配的な場合の排気時間tの計算
- S ≪ C の場合、Seff = Sとし、排気速度tは下記により導出できます。

これを解いて

※ P2 < P1 とします
- ts (s) : ポンプ排気速度での排気時間
- V (m3) : チャンバー体積
- S (m3/s) : ポンプ排気速度
- P1 (Pa) : チャンバーの排気開始圧力
- P2 (Pa) : チャンバーの目的圧力
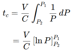
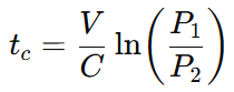
コンダクタンスが支配的な場合の排気時間tの計算
- C ≪ S の場合、Seff = Cとし、排気速度tは下記により導出できます。

これを解いて

Cを代入して

※ P2 < P1 とします
- tc (s) : 排気時間
- d (m) : 配管の内径
- L (m) : 配管長さ
- V (m3) : チャンバー体積
- P1 (Pa) : チャンバーの排気開始圧力
- P2 (Pa) : チャンバーの目的圧力
上記以外の場合の排気時間tの計算
積分式・コンダクタンスの合成の式より、


上記式より、

したがって、

となり、ポンプの排気時間と配管のコンダクタンスでの排気時間の合計時間となります。
積分式の導出について
微小時間 t に対する P の変化は以下のようになります。

式を変形して

両辺を入れ替え、積分します。

左辺を解き・マイナスを取るため右辺の積分区間を逆にすると、積分式が得られます。

参考文献
(1) 「真空ポケットブック」p38 日本真空工業会(2025)